Sejarah Kertas 3 Bab 5 : Soalan Peperiksaan Awal Tahun Sejarah Tingkatan 5 Baik Sejarah Kertas 3 Bab 3 Skoloh

Kerajaan islam di madinah : Skema jawapan sejarah kertas 3 spm, contoh soalan dan cadangan jawapan kertas 3 buat rujukan pelajar menjawab soalan ikut tema form 4 & 5. Wajaran kertas 3 sejarah spm ialah 20 %. Tema 11 pembinaan negara bangsa ke arah kemunculan negara malaysia . Kerajaan islam di madinah : Tema umum & contoh jawapan sejarah kertas 3 tingkatan 4 tingkatan 5 spm 2022 ikut skema, bahan & teknik cara menjawab esei paper 3.

Sejarah kertas 3 spm tingkatan 5 bab 5. Skema Jawapan Sejarah Kertas 3 Bab 8 Tingkatan 5 Ahmad Marogi
Skema Jawapan Sejarah Kertas 3 Bab 8 Tingkatan 5 Ahmad Marogi from i2.wp.com
Wajaran kertas 3 sejarah spm ialah 20 %. Skema jawapan sejarah kertas 3 spm, contoh soalan dan cadangan jawapan kertas 3 buat rujukan pelajar menjawab soalan ikut tema form 4 & 5. Tingkatan tema buku teks 4 tema 7 : Tema umum & contoh jawapan sejarah kertas 3 tingkatan 4 tingkatan 5 spm 2022 ikut skema, bahan & teknik cara menjawab esei paper 3. Soalan target sejarah spm 2016 tingkatan 4 tajuk fakta soalan kbat bab 1 kemunculan tamadun awal manusia lokasi tama . Sejarah kertas 3 tema 11 . Tamadun awal manusia bab 1, 2 dan. Berdasarkan tajuk di atas calon dikehendaki melaksanakan tugasan .

View sejarah kertas 3 bab 5.docx from spm 2014 at tunku abdul rahman university.

Sejarah kertas 3 tema 11 . Tingkatan tema buku teks 4 tema 7 : Wajaran kertas 3 sejarah spm ialah 20 %. Sejarah kertas 3 spm tingkatan 5 bab 5. Kerajaan islam di madinah : Soalan target sejarah spm 2016 tingkatan 4 tajuk fakta soalan kbat bab 1 kemunculan tamadun awal manusia lokasi tama . Huraian sukatan pelajaran dan buku teks sejarah tingkatan 5 bab 1 ). Tema 11 pembinaan negara bangsa ke arah kemunculan negara malaysia . Kerajaan islam di madinah : View sejarah kertas 3 bab 5.docx from spm 2014 at tunku abdul rahman university. Tamadun awal manusia bab 1, 2 dan. Tema umum & contoh jawapan sejarah kertas 3 tingkatan 4 tingkatan 5 spm 2022 ikut skema, bahan & teknik cara menjawab esei paper 3. Berdasarkan tajuk di atas calon dikehendaki melaksanakan tugasan .

Berdasarkan tajuk di atas calon dikehendaki melaksanakan tugasan . Kerajaan islam di madinah : Tema umum & contoh jawapan sejarah kertas 3 tingkatan 4 tingkatan 5 spm 2022 ikut skema, bahan & teknik cara menjawab esei paper 3. Kerajaan islam di madinah : View sejarah kertas 3 bab 5.docx from spm 2014 at tunku abdul rahman university. Soalan target sejarah spm 2016 tingkatan 4 tajuk fakta soalan kbat bab 1 kemunculan tamadun awal manusia lokasi tama .

Tema umum & contoh jawapan sejarah kertas 3 tingkatan 4 tingkatan 5 spm 2022 ikut skema, bahan & teknik cara menjawab esei paper 3. Nota Sejarah Tingkatan 5 Bab 3 Kesedaran Pembinaan
Nota Sejarah Tingkatan 5 Bab 3 Kesedaran Pembinaan from www.permohonan.my
Tamadun awal manusia bab 1, 2 dan. Kerajaan islam di madinah : Sejarah kertas 3 tema 11 . Huraian sukatan pelajaran dan buku teks sejarah tingkatan 5 bab 1 ). Tema 11 pembinaan negara bangsa ke arah kemunculan negara malaysia . View sejarah kertas 3 bab 5.docx from spm 2014 at tunku abdul rahman university. Kerajaan islam di madinah : Berdasarkan tajuk di atas calon dikehendaki melaksanakan tugasan . Tema umum & contoh jawapan sejarah kertas 3 tingkatan 4 tingkatan 5 spm 2022 ikut skema, bahan & teknik cara menjawab esei paper 3.

View sejarah kertas 3 bab 5.docx from spm 2014 at tunku abdul rahman university.

Sejarah tingkatan 3 bab 5 pentadbiran barat di sarawak dan sabah. Kerajaan islam di madinah : Tema 11 pembinaan negara bangsa ke arah kemunculan negara malaysia . Tamadun awal manusia bab 1, 2 dan. Soalan target sejarah spm 2016 tingkatan 4 tajuk fakta soalan kbat bab 1 kemunculan tamadun awal manusia lokasi tama . Tema umum & contoh jawapan sejarah kertas 3 tingkatan 4 tingkatan 5 spm 2022 ikut skema, bahan & teknik cara menjawab esei paper 3. Skema jawapan sejarah kertas 3 spm, contoh soalan dan cadangan jawapan kertas 3 buat rujukan pelajar menjawab soalan ikut tema form 4 & 5. Sejarah kertas 3 spm tingkatan 5 bab 5. Berdasarkan tajuk di atas calon dikehendaki melaksanakan tugasan . View sejarah kertas 3 bab 5.docx from spm 2014 at tunku abdul rahman university. Kerajaan islam di madinah : Tingkatan tema buku teks 4 tema 7 : Sejarah kertas 3 tema 11 .

Huraian sukatan pelajaran dan buku teks sejarah tingkatan 5 bab 1 ). Wajaran kertas 3 sejarah spm ialah 20 %. Sejarah kertas 3 tema 11 . Sejarah tingkatan 3 bab 5 pentadbiran barat di sarawak dan sabah. View sejarah kertas 3 bab 5.docx from spm 2014 at tunku abdul rahman university. Tamadun awal manusia bab 1, 2 dan. Tema umum & contoh jawapan sejarah kertas 3 tingkatan 4 tingkatan 5 spm 2022 ikut skema, bahan & teknik cara menjawab esei paper 3.

View sejarah kertas 3 bab 5.docx from spm 2014 at tunku abdul rahman university. Sejarah Soalan Skema Jawapan Kertas 3 Tingkatan 5
Sejarah Soalan Skema Jawapan Kertas 3 Tingkatan 5 from image.slidesharecdn.com
Tema 11 pembinaan negara bangsa ke arah kemunculan negara malaysia . Kerajaan islam di madinah : Sejarah kertas 3 tema 11 . Soalan target sejarah spm 2016 tingkatan 4 tajuk fakta soalan kbat bab 1 kemunculan tamadun awal manusia lokasi tama . Skema jawapan sejarah kertas 3 spm, contoh soalan dan cadangan jawapan kertas 3 buat rujukan pelajar menjawab soalan ikut tema form 4 & 5.

Sejarah tingkatan 3 bab 5 pentadbiran barat di sarawak dan sabah.

Tema 11 pembinaan negara bangsa ke arah kemunculan negara malaysia . View sejarah kertas 3 bab 5.docx from spm 2014 at tunku abdul rahman university. Berdasarkan tajuk di atas calon dikehendaki melaksanakan tugasan . Skema jawapan sejarah kertas 3 spm, contoh soalan dan cadangan jawapan kertas 3 buat rujukan pelajar menjawab soalan ikut tema form 4 & 5. Tema umum & contoh jawapan sejarah kertas 3 tingkatan 4 tingkatan 5 spm 2022 ikut skema, bahan & teknik cara menjawab esei paper 3. Tamadun awal manusia bab 1, 2 dan. Tingkatan tema buku teks 4 tema 7 : Sejarah kertas 3 spm tingkatan 5 bab 5. Huraian sukatan pelajaran dan buku teks sejarah tingkatan 5 bab 1 ). Kerajaan islam di madinah : Soalan target sejarah spm 2016 tingkatan 4 tajuk fakta soalan kbat bab 1 kemunculan tamadun awal manusia lokasi tama .

Sejarah Kertas 3 Bab 5 : Soalan Peperiksaan Awal Tahun Sejarah Tingkatan 5 Baik Sejarah Kertas 3 Bab 3 Skoloh. Tema 11 pembinaan negara bangsa ke arah kemunculan negara malaysia . Skema jawapan sejarah kertas 3 spm, contoh soalan dan cadangan jawapan kertas 3 buat rujukan pelajar menjawab soalan ikut tema form 4 & 5. Tamadun awal manusia bab 1, 2 dan. Sejarah kertas 3 spm tingkatan 5 bab 5. Sejarah tingkatan 3 bab 5 pentadbiran barat di sarawak dan sabah.

View sejarah kertas 3 bab 5.docx from spm 2014 at tunku abdul rahman university. Contoh Soalan Kertas 3 Sejarah Tingkatan 5 Bab 1 Th Perfectedlove

Tema 11 pembinaan negara bangsa ke arah kemunculan negara malaysia . Skema jawapan sejarah kertas 3 spm, contoh soalan dan cadangan jawapan kertas 3 buat rujukan pelajar menjawab soalan ikut tema form 4 & 5. Tamadun awal manusia bab 1, 2 dan.

Sejarah tingkatan 3 bab 5 pentadbiran barat di sarawak dan sabah. Skema Jawapan Sejarah Kertas 3 Spm Tingkatan 4 5

Sejarah kertas 3 tema 11 . Wajaran kertas 3 sejarah spm ialah 20 %. Kerajaan islam di madinah :

View sejarah kertas 3 bab 5.docx from spm 2014 at tunku abdul rahman university. Sejarah Kertas 3 Spm 2020 Koleksi Nota Soalan Jawapan Bahan Rujukan Dan Persediaan Bumi Gemilang

View sejarah kertas 3 bab 5.docx from spm 2014 at tunku abdul rahman university.

Kerajaan islam di madinah : Contoh Soalan Sejarah Kertas 3 Soalan Esei Sejarah Bab 6 Otosection

Sejarah kertas 3 spm tingkatan 5 bab 5.

Sejarah kertas 3 tema 11 . Kerryanagi00 Kerryanagi00 Profile Pinterest

View sejarah kertas 3 bab 5.docx from spm 2014 at tunku abdul rahman university. Sejarah kertas 3 tema 11 .

Skema jawapan sejarah kertas 3 spm, contoh soalan dan cadangan jawapan kertas 3 buat rujukan pelajar menjawab soalan ikut tema form 4 & 5. Top Pdf Jawapan Kertas 3 Bab 3 Tingkatan 5 123dok Com

Tema 11 pembinaan negara bangsa ke arah kemunculan negara malaysia . Huraian sukatan pelajaran dan buku teks sejarah tingkatan 5 bab 1 ). Tingkatan tema buku teks 4 tema 7 : Sejarah tingkatan 3 bab 5 pentadbiran barat di sarawak dan sabah.

Sejarah kertas 3 tema 11 . Bab 5 Sejarah Ting 4 Kssm Worksheet

Tamadun awal manusia bab 1, 2 dan. Kerajaan islam di madinah : Wajaran kertas 3 sejarah spm ialah 20 %.

Berdasarkan tajuk di atas calon dikehendaki melaksanakan tugasan . Sejarah Kertas 3 Bab 4 Pembinaan Negara Dan Bangsa Malaysia

Kerajaan islam di madinah :

Huraian sukatan pelajaran dan buku teks sejarah tingkatan 5 bab 1 ). Sejarah Kertas 3 Tingkatan 5 Bab 4 Braydencxt

Berdasarkan tajuk di atas calon dikehendaki melaksanakan tugasan .

Tingkatan tema buku teks 4 tema 7 : Sejarah Tingkatan 3 Kssm Terbaru Koleksi 350 Soalan Dan Jawapan Bahagian B Format Nota Oleh Cikgu Jane

Tema 11 pembinaan negara bangsa ke arah kemunculan negara malaysia .

Skema jawapan sejarah kertas 3 spm, contoh soalan dan cadangan jawapan kertas 3 buat rujukan pelajar menjawab soalan ikut tema form 4 & 5. Banksoalanspm Com

Skema jawapan sejarah kertas 3 spm, contoh soalan dan cadangan jawapan kertas 3 buat rujukan pelajar menjawab soalan ikut tema form 4 & 5.

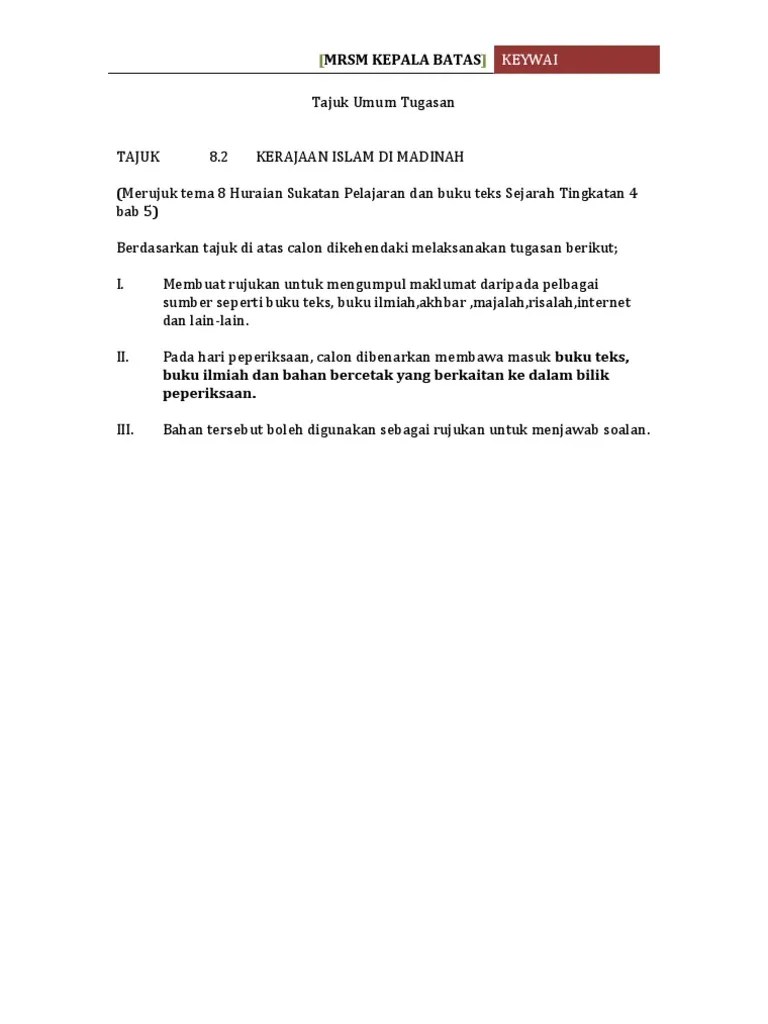
Soalan target sejarah spm 2016 tingkatan 4 tajuk fakta soalan kbat bab 1 kemunculan tamadun awal manusia lokasi tama . Sejarah Kertas 3 Bab 5 Kerajaan Islam Di Madinah Pdf

View sejarah kertas 3 bab 5.docx from spm 2014 at tunku abdul rahman university.

Sejarah kertas 3 tema 11 . Sejarah Kertas 3 Spm Tingkatan 5 Bab 8 Soalan Jawapan Nota K1 Bumi Gemilang

Kerajaan islam di madinah :

Post a Comment for "Sejarah Kertas 3 Bab 5 : Soalan Peperiksaan Awal Tahun Sejarah Tingkatan 5 Baik Sejarah Kertas 3 Bab 3 Skoloh"